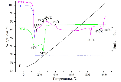
Pb10(VO4)6(OH)2.jpg

This file is part of "Thermal behavior of apatite-like compounds Pb₁₀(ХO₄)₆(OH)₂, where X = P, V".

Version 1.0
File Citation
Smolyak Svitlana, 2025, "Thermal behavior of apatite-like compounds Pb₁₀(ХO₄)₆(OH)₂, where X = P, V", https://doi.org/10.48788/DVUA/ZF4TEA, DataverseUA, V1; Pb10(VO4)6(OH)2.jpg [fileName]
Dataset Citation
Smolyak Svitlana, 2025, "Thermal behavior of apatite-like compounds Pb₁₀(ХO₄)₆(OH)₂, where X = P, V", https://doi.org/10.48788/DVUA/ZF4TEA, DataverseUA, V1
File Metrics
53 Downloads
File Metadata  
Edit File

This file has already been deleted (or replaced) in the current version. It may not be edited.

Restrict Access

Restricting limits access to published files. People who want to use the restricted files can request access by default. If you disable request access, you must add information about access to the Terms of Access field.

Learn about restricting files and dataset access in the User Guide.

Enable access request
You must enable request access or add terms of access to restrict file access.
Save Changes
Edit Embargo

The selected file or files have already been published. Contact an administrator to change the embargo date or reason of the file or files.

Delete Files

The file will be deleted after you click on the Delete button.

Files will not be removed from previously published versions of the dataset.


Select File(s)

Please select one or more files.

Share File

Share this file on your favorite social media networks.

Package File Download

Use the Download URL in a Wget command or a download manager to download this package file. Download via web browser is not recommended. User Guide - Downloading a Dataverse Package via URL

https://opendata.nas.gov.ua/api/access/datafile/

Dataset Terms

Please confirm and/or complete the information needed below in order to request access to files in this dataset.

This dataset is made available under the following terms. Please confirm and/or complete the information needed below in order to continue.

Our Community Norms as well as good scientific practices expect that proper credit is given via citation. Please use the data citation shown on the dataset page.

CC BY 4.0

Provenance

Provenance is a record of the origin of your data file and any transformations it has been through. Upload a JSON file from a provenance capture tool to generate a graph of your data's provenance. For more information, please refer to our User Guide.

File must be JSON format and follow the W3C standard.

Select File

You may also add information documenting the history of your data file, including how it was created, how it has changed, and who has worked with it.

Provenance
No changes have been made.
Request Access

  You need to Sign Up or Log In to request access.

Compute

This file is restricted and you may not compute on it because you have not been granted access.